Kerjasama ini berlaku sampai kegiatan ini berakhir yaitu tanggal 29 juni 2013 dan sesudahnya tidak ada keterikatan perjanjian kerjasama ini. Raya sawit bojong km 7 kppillar desa sukamanah rt 1004 dalam hal ini bertindak untuk dan atas nama polbis organizer event organizer dan selanjutnya disebut sebagai pihak i nama.
Contoh Surat Perjanjian Kerjasama Event Organizer Surat 35
Contoh surat perjanjian kerjasama event organizer dan sponsor. Perjanjian kerjasama ini berlaku untuk jangka waktu 3 tiga tahun terhitung mulai tanggal 21 april 2018 sampai dengan tanggal 21 april 2021. Berikut format dan contoh mou kerjasama sponsorship dengan acara event organizer. Setiap sponsor yang berminat harus menandatangani surat perjanjian kerjasama. Ketentuan sponsorship dan penawaran acara seminar nasional kepemudaan 2017 lembaga dakwah kampus at tarbiyah uin maulana malik ibrahim malang. Semua tarif sponsorship sudah termasuk pajak design ongkos produksi biaya pemasangan dan pajak reklame. Dalam contohnya saya akan menggunakan suatu kesepakakatan antara sponsorship dengan suatu acara atau event organizer.
Contoh surat perjanjian kerjasama terbaru 2013 berikut ini di gunakan sebagai dasar untuk melakukan kerjasama suatu usaha. Perjanjian antar dua pihak ini biasa dikenal dengan istilah memorandum of understanding mou. Pembatalan surat perjanjian kerjasama ini tidak dapat dibatalkan secara sepihak tanpa persetujuan pihak. Contoh mou diatas berisikan kesepakatan sekolah dengan perusahaan dalam penyediaan tenaga kerja. Surat perjanjian kerjasama ini dibuat 2 rangkap yang dibubuhi materai rp 6000 dan masing masing rangkap mempunyai kekuatan hukum yang. Apabila dipandang perlu oleh pihak pertama dan pihak kedua perjanjian ini dapat diubah baik menyangkut materi maupun syarat syaratnya yang harus dibuat berdasarkan kesepakatan tertulis kedua antara pihak pertama dan pihak kedua.
Semua produk sponsorship yang dibuat panitia sepenuhnya berada di bawah tanggung jawab panitia sedangkan bentuk sponsorship yang dibuat oleh pihak sponsor sepenuhnya berada di bawah tanggung jawab pihak sponsor. Contoh surat kerjasama sponsorship yang baik dan benar. Contoh surat perjanjian kerjasama event organizer danielle contoh surat perjanjian kerjasama event organizer dana. Jangka waktu perjanjian telah berakhir dan para pihak sepakat tidak memperpanjang perjanjian kerjasama. Related posts to contoh surat perjanjian kerjasama event organizer dan sponsor. Contoh surat perjanjian mou antar perusahaan.
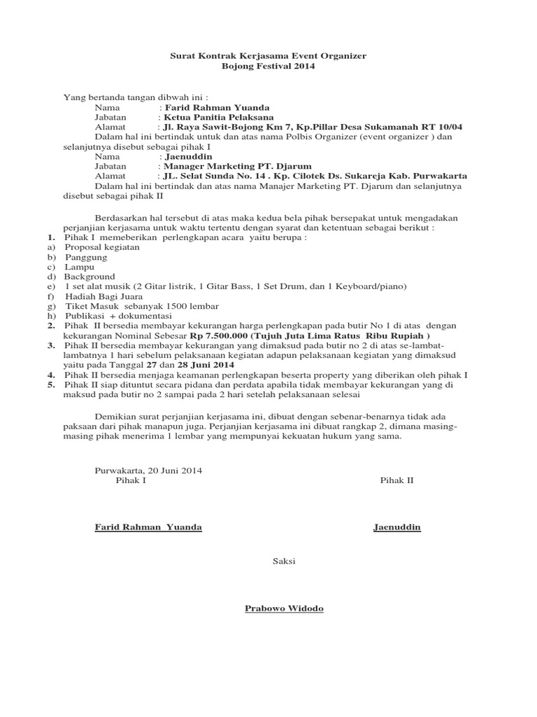
Contoh surat permohonan kerjasama. Format mou lebih singkat dan sederhana dari surat perjanjian pada umumnya. Dalam sebuah kesepakatan baik itu dilakukan antar perorangan atau perusahaan adanya perjanjian dalam bentuk tertulis adalah hal yang utama. Ketua panitia pelaksana alamat. Surat kontrak kerjasama event organizer. Bojong festival 2014 yang bertanda tangan dibwah ini.
Farid rahman yuanda jabatan. Perjanjian mou dalam contoh tersebut dibuat hanya sebagai dokumen awal atau pendahuluan dari surat perjanjian kerjasama. Facebook twitter newer post older post search here. Dalam mengadakan event tertentu anda bisa bekerjasama dengan pihak lain yang berperan sebagai sponsor. Contoh surat pernyataan kerja contoh surat dinas contoh surat lamaran kerja pengertian dan penggunaan perjanjian kerjasama secara sederhana. Para pihak sepakat bahwa perjanjian kerjasama ini berakhir apabila.















