Dalam contoh surat penawaran kapal gawe cv telah memilihkan tema atau template yang terbaik untuk dijadikan inspirasi ide ataupun acuan dalam penulisan surat anda. Unknown 24 maret 2016 2130.
 
                        Contoh Surat Perjanjian Kerjasama Bagi Hasil Contoh Surat
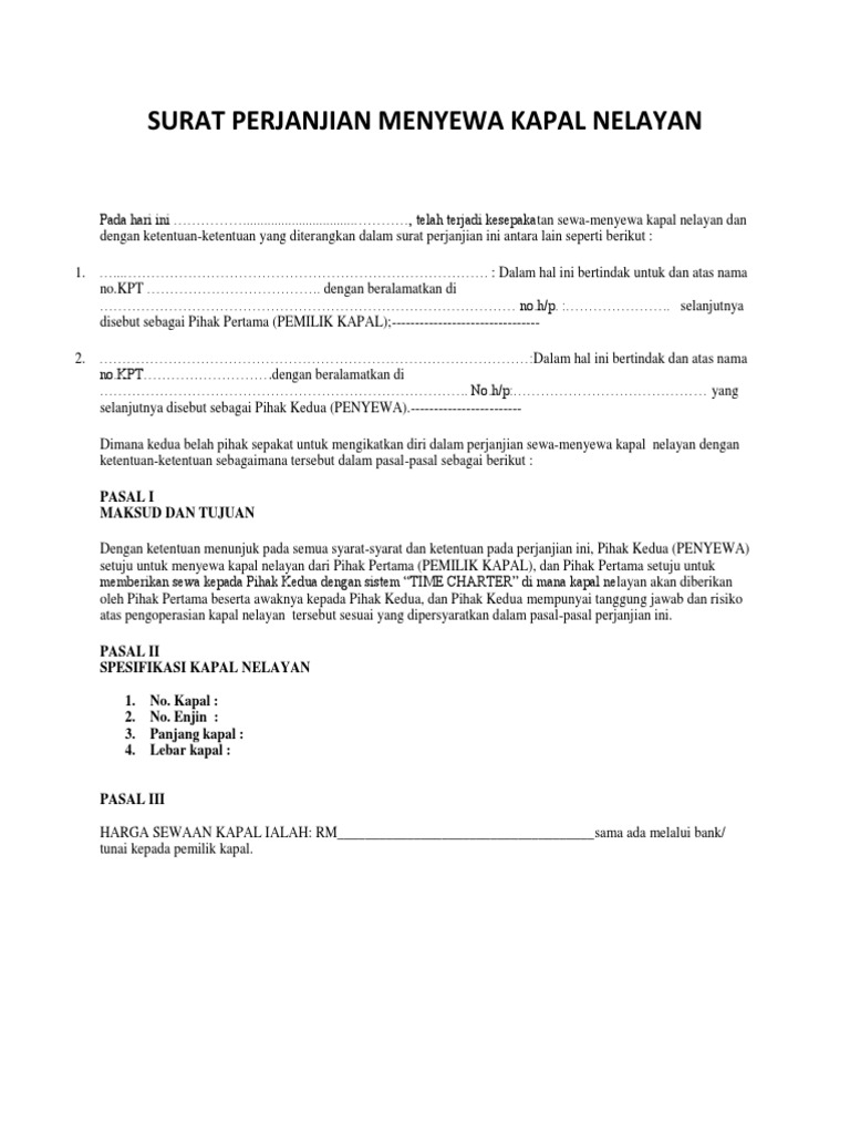
Contoh surat perjanjian sewa kapal. Demikian surat perjanjian sewa menyewa kapal dibuat dan disetujui bersama ditandatangani dalam rangkap dua bermaterai cukup dan masing masing mempunyai kekuatan hukum yang sama pihak pertama pihak kedua pemilik kapal atau wakilnya. Sebuah perusahaan yang berkedudukan hukum di beralamat dalam perjanjian ini di wakilkan oleh bapakibu. Tahun dua ribu sebelas 2011 bertempat di jakarta kami yang bertanggung jawab dibawah ini. Great contoh surat perjanjian freight charter kapal 61 guna ide membuat surat perjanjian oleh post contoh surat perjanjian freight charter kapal semoga dengan gawe cv post beberapa contoh dapat menjadikan anda lebih baik lagi dalam berkreasi serta menulis surat yang baik dan menarik. 2 responses to contoh perjanjian sewa menyewa kapal unknown 24 maret 2016 2129. Admin adakah contoh surat perjanjian kontrak sewa jasa perwira untuk menakhodai kapal tug boat.
Berikut ini contoh surat yang baik dan benar serta menarik perhatian yang dapat anda gunakan dalam tema maupun format penulisan surat. Contoh surat perjanjian freight charter kapal gawe cv. Perjanjian sewa menyewa kapal. Perjanjian sewa menyewa time charter tug boat dan barge nomimtc2011 pada hari ini. Sebab diketahui bahwa alat berat merupakan salah satu objek transportasi yang memiliki nilai ekonomi yang tinggi yang bahkan hingga bernilai miliaran. Dengan ketentuan menunjuk pada semua syarat syarat dan ketentuan pada perjanjian ini pihak kedua penyewa setuju untuk menyewa tug boat dari pihak pertama pemilik kapal dan pihak pertama setuju untuk memberikan sewa kepada pihak kedua dengan sistem time charter di mana tug boat dan barge tongkang akan diberikan oleh pihak.
Contoh surat pernyataan kerja contoh surat dinas contoh surat lamaran kerja pengertian dan penggunaan perjanjian kerjasama secara sederhana. Selain surat perjanjian penyewaan mobil surat kerjasama mengenai sewa menyewa kendaraan lainnya yang perlu untuk di pertegas adalah surat yang berisi kesepakatan mengenai sewa alat berat. Surat perjanjian sewa menyewa kapal. Untuk anda yang ingin mengontrak rumah atau malah mungkin yang mengontrakkan yg punya rumah sebaiknya gunakan contoh surat perjanjian kontrak rumah atau sewa rumah ini sebagai bagian dari kesepakatan kontrak atau sewa rumah. Dalam sebuah kesepakatan baik itu dilakukan antar perorangan atau perusahaan adanya perjanjian dalam bentuk tertulis adalah hal yang utama. Perjanjian antar dua pihak ini biasa dikenal dengan istilah memorandum of understanding mou.










