Contoh surat pernyataan tentang kdrt. Dimana surat pernyataan untuk calon pegawai negeri sipil memang berguna untuk menyatakan bahwa anda tidak pernah dipecat pendidikan sesuai kesehatan baik dan juga tidak pernah melakukan kejahatan.
 
                        Salinan Nomor 37 E 2010 Peraturan Walikota Malang Nomor 49
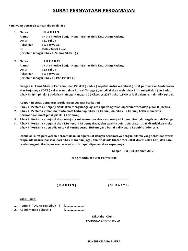
Contoh surat pernyataan tidak mengulangi kdrt. Namun hal ini sebaiknya tidak perlu dilakukan. Kekerasan dalam rumah tangga memang kerap kali terjadi. Contoh surat pernyataan tidak mengulangi adalah gambar contoh surat berdefinisi tinggi dan memiliki ukuran 1237x1600. Bah berikut adalah contoh surat perjanjian tidak mengulangi kesalahan yang dapat di jadikan referensi bagi anda. Berbagai data terkait contoh surat pernyataan saya tidak akan mengulangi lagi. Bahwa benar apabila suatu saat terjadi pertengkaran dalam rumah tangga saya tidak akan mengulangi perbuatan tersebut pemukulanmelakukan tindakan kekerasan terhadap istri saya.
Contoh surat pernyataan tidak mengulangi kdrt. Berikut contoh surat persetujuan untuk tidak kdrt yang dapat digunakan. Download surat perjanjian tidak mengulangi kesalahan. Contoh surat pernyataan tidak mengulangi. Apakah anda mencari contoh sura. Penyesalan terhadap kesalahan yang dilakukan kepada sesama manusia seringkali dibutuhkan suatu pernyataan yang tegas dan terikat secara hukum.
Contoh surat lamaran cpns 2019 resmi untuk guru bumn dan pemda. Surat pernyataan adalah surat yang dibuat untuk menyatakan bahwa seseorang telah atau tidak pernah melakukan suatu hal. Tidak sekedar menyatakan penyesalan atas kesalahan yang sudah diperbuat namun harus dengan sungguh sungguh dan sadar betul akan kesalahan yang sudah dilakukan. Bahwa benar apabila saya mengulangi hal tersebut. Contoh surat perjanjian tidak mengulangi kesalahan terbaru kop contoh surat perjanjian tidak mengulangi kesalahan kop contoh surat perjanjian tidak mengulangi kesalahan terbaru terima kasih sudah membaca artikel contoh surat perjanjian tidak mengulangi kesalahan jangan lupa untuk dibagikan ke lainnya. Anda dapat melihat dengan jelas contoh surat pernyataan tidak mengulangi menggunakan desktop anda tablet android atau iphone dan perangkat smartphone lainnya secara gratis.
Karena itu bagi yang sudah melakukannya dan memiliki itikad baik agar segera membuat surat penyataan. Di bawah ini contoh surat pernyataan tidak mengulangi kesalahan siswa yang bisa digunakan. Meskipun hal yang dicantumkan dalam surat pernyataan bisa saja sederhana tapi banyak orang yang masih tidak tahu bagaimana cara membuat dan membutuhkan contoh surat pernyataan yang benar. Contoh surat perdamaian dan sanksi pidana kasus kekerasan dalam rumah tangga kdrt contoh surat perdamaian dan sanksi pidana kasus kekerasan dalam rumah tangga kdrt akibat kekerasan dalam rumah tangga tersebut berdasarkan pasal 26 ayat 1 uu kdrt salah satu pihak suami atau istri yang menjadi korban dapat melaporkan tindakan tersebut kepada pihak yang berwajib polisi namun sebelum.
















